身份證社保卡驗證桌面智能終端
一、功能概述:
身份證社保卡驗證終端是專為無線支付領域和身份證來訪登記而特別定制的Android智能終端,東信智能身份證社保卡驗證終端集成了身份證登記系統、快件代收系統、便民服務系統、銀行轉賬、話費充值 、打印機和平板電腦的所有功能,并充分利用條碼技術,RFID 技術,無線支付技術,無線通訊技術,將安全性、簡易性和技術性進行完美融合,從而使得平板電腦可以方便快捷地進行近距離無線通信連接、實現數據的實時交換與服務的功能。產品豐富的外設以及強大的硬件支持可為多個行業提供更加高效、便捷、安全的終端解決方案,安全、簡便地完成門店收銀、活動檢票、確認付費之類的操作應用。

主要功能模塊:
1、身份證信息讀取:脫機可讀,包括姓名、身份證號碼、指紋信息;
2、社保卡信息讀取:脫機可讀,包括姓名、身份證號碼等信息;
3、非接觸式讀卡:可讀支持Type A協議 多種智能卡,包括IC卡、M1卡、CPU卡等;
4、磁條卡:支持磁條、銀聯卡等卡片識別讀取;
5、安防功能:雙目攝像頭識別及指靜脈識別;
6、二維碼:500W前置攝像頭,支持一維碼、二維碼掃描;
7、打印機:58mm熱敏打印機;
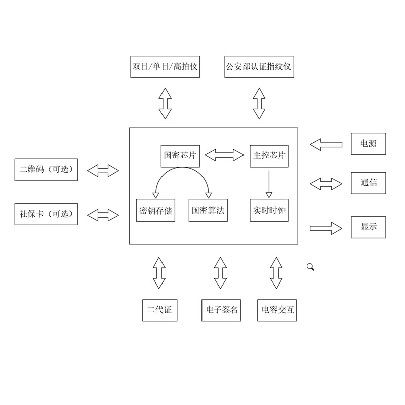
8、密碼鍵盤:232接口,支持銀聯接入,支持國密算法;

二、行業應用
1、來訪登記、社保應用服務、連鎖零售、服裝行業、餐飲娛樂休閑、醫療行業、快速物流業、保險金融等行業。
2、動車實名制:
火車票問題一直處在輿論的風口浪尖。春運期間,一票難求;購票高峰期,黃牛泛濫,借機牟取非法利潤……而今,火車票也已經邁開了實名制的步伐,這些問題有望得到緩解。
3、購物卡實名制:
動車實名制并非特例,“隱姓埋名”多年的購物卡也開始“正名”。據媒體報道,七部委共同推出《關于規范商業預付卡管理的意見》(以下簡稱《意見》),《意見》規定:對于購買記名商業預付卡和一次性購買1萬元(含)以上不記名商業預付卡的單位或個人,由發卡人進行實名登記;單位一次性購卡金額達5000元(含)以上或個人一次性購卡金額達5萬元(含)以上的,通過銀行轉賬方式購買,不得使用現金;使用轉賬方式購卡的,發卡人要對轉出、轉入賬戶名稱、賬號、金額等進行逐筆登記;不記名商業預付卡面值不超過 1000元,記名商業預付卡面值不超過5000元。
4、旅游景區
針對旅行社客戶,可以提供整套景區票務系統解決方案。滿足各個景區票務管理的驗證終端,有身份證驗證終端、有二維碼驗證、有竄碼驗證、有帶銀聯卡刷卡收費功能。
5、煙草行業
——煙草零售pos終端、煙草銷售防偽物流終端
如果全國部門地區煙草局推行使用身份證閱讀器,落實實名制,規范行業管理。集成刷卡、條碼、打印于一體極大的滿足了煙草行業終端需求。能對大批零售業戶的日常進銷存信息進行采集,以對社會庫存,銷售,銷售價格有清楚的了解。同時對普通消費者日常消費信息進行管理和分析。
6、醫療行業
擁有二代證、醫療磁條卡、條碼卡,社保IC卡、及藥品條碼追溯等功能,完全取代了一臺PC電腦。使社保機關、醫院、醫療場所辦公人員使用更方便更流暢更實用。
三、產品方案特性介紹
1)本自助終端主推社保行業應用。可以根據各地社保需求運行社保相關的應用程序。可進行民生、醫療、衛生方面的互聯網接入,可作為廣大市民,尤其是偏遠地區的互聯網入口。
2)本設備結合習正后臺,可支持接觸IC、磁條、閃付等銀行卡業務。
3)通訊的多樣化。支持有線網絡/wifi/3G/2G等通訊模式,可適應各種不同地區的通訊條件。
4)支持身份證、指靜脈、人臉識別等安防要求。
四、產品參數
主控模板: | RK3288 |
操作系統 | Android 4.4 |
內存 | 2G RAM |
存儲 | 16G Flash |
顯示屏 | 10.1寸 1920*1080 |
TP | 支持5點觸碰,鋼化玻璃,G+G全貼合 |
通訊方式 | Wifi:帶陶瓷天線 藍牙:4.0 BLE LAN口:1000M網口 無線:支持聯通3G以及所有2G |
攝像頭 | 500W前置攝像頭,支持二維碼掃描 |
安防功能 | 1、支持雙目攝像頭人臉識別 2、支持指靜脈掃描 |
讀卡功能 | 1、支持TypeA、TypeB、M1、接觸式CPU、磁條卡等。 2、支持社保、身份證、銀聯卡等應用。 |
打印機 | 58mm熱敏打印機,支持漢字及英文。 |
電池: | 內置5000mAH鋰電池,可使用3個小時 |
密碼鍵盤 | 232接口,支持銀聯接入,支持國密算法 |
(*由于產品升級或其他原因,身份證社保卡驗證桌面智能終端產品實際參數有可能變更,以實際產品為準。本文中的所有陳述、信息和建議也不構成任何明示或暗示的擔保)
上一篇:沒有資料
下一篇: 10寸臺式智能身份證指紋終端




















































